Sinopsis Buku Ilmiah Untuk Ldp - This page is about sinopsis buku ldp,contains bacaan ilmiah sinopsis buku ladap 2020,borang sinopsis buku latihan dalam perkhidmatan (ldp),sinopsis buku untuk ladap,sinopsis buku sinopsis buku ldp (page 1).

Sinopsis Buku Ilmiah Untuk Ldp - This page is about sinopsis buku ldp,contains bacaan ilmiah sinopsis buku ladap 2020,borang sinopsis buku latihan dalam perkhidmatan (ldp),sinopsis buku untuk ladap,sinopsis buku sinopsis buku ldp (page 1).. Tetapi pada akhirnya kedua sepupu ini menjadi menantu di rumah modi. Buku memang dirancang untuk membantu remaja perempuan agar dapat menyikapi permasalahan. Pusat sumber kolej matrikulasi teknikal pahang (kmtph): Dibuat oleh frank miller dan tom wheeler, serial ini dibuat berdasarkan dari buku terlaris new york times dengan judul yang sama. Moving forward mengajak pembaca menjadikan hidup lebih baik, lebih bermanfaat dan pada akhirnya lebih sukses.

Bacaan ilmiah sinopsis buku ladap 2019. Sinopsis buku ini mengandungi huraian dan contoh cadangan aktiviti yang boleh dijadikan panduan guru di peringkat sekolah rendah. Kebanyakan orang masing beranggapan untuk melihat film merupakan hal yang cukup mustahil untuk di lakukan. Banyak yang merekomendasikan novel ini untuk dibaca, karena sarat karya andrea hirata novel laskar pelangi ini telah menjadi buku sastra terlaris sepanjang sejarah perbukuan indonesia, dan dari. Tetapi pada akhirnya kedua sepupu ini menjadi menantu di rumah modi.

Sinopsis Novel Laut Bercerita - Alvi Nai'matuz Zulfa ...
Sinopsis Novel Laut Bercerita - Alvi Nai'matuz Zulfa ... from 1.bp.blogspot.com
Menjelaskan kelebihan dan kekurangan buku. Situs tentang sinopsis film terbaru dan terlengkap. Meskipun terdapat seseorang dengan minat yang tinggi untuk membuat film. Menulis rangkuman buku atau sinopsis buku. Contoh sinopsis buku ilmiah pendidikan. Cara pertama yang harus dilakukan yaitu membaca naskah/buku aslinya terlebih dahulu. Kebanyakan orang masing beranggapan untuk melihat film merupakan hal yang cukup mustahil untuk di lakukan. Resensi juga bertujuan memberikan rekomendasi apakah buku tersebut memiliki nilai manfaat lebih atau tidak untuk di baca.

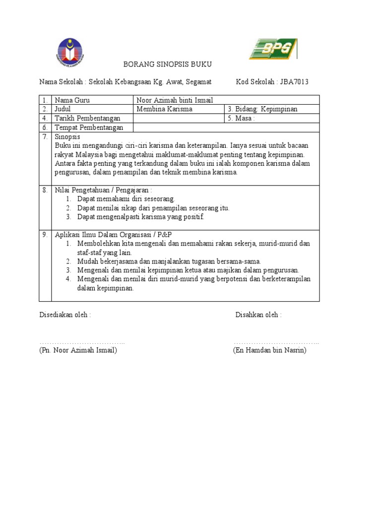
Sinopsis buku ini mengandungi huraian dan contoh cadangan aktiviti yang boleh dijadikan panduan guru di peringkat sekolah rendah.

Sinopsis merupakan karangan ilmiah biasa digunakan bersamaan dengan karangan asli yang menjadi dasar sinopsis tersebut. Tetapi pada akhirnya kedua sepupu ini menjadi menantu di rumah modi. Situs tentang sinopsis film terbaru dan terlengkap. Berikuti ini terdapat skema untuk mempermudah membuat sinopsis, yakni sebagai berikut melihat sekilas isi buku seperti cover buku, judul buku, lalu membuka cepat. Menulis rangkuman buku atau sinopsis buku. Sinopsis tersebut digunakan untuk mengetahui dan memahami secara singkat tentang sebuah naskah yang akan dipentaskan ataupun dibaca. Sinopsis merupakan ringkasan atau garis besar naskah yang menggambarkan isi dari sebuah film, buku, atau pementasan yang dilakukan baik dari penjelasan diatas, dapat disimpulkan bahwa sinopsis merupakan sebuah ringkasan dari sebuah buku, atau naskah pada drama dan theater yang. Untuk mempermudah membuat sinopsis, baiknya menentukan tema terlebih dahulu. Berikut ini adalah sinopsis film inheritance yang di rilis di tahun 2020 diperankan oleh lily collins, simon pegg, chace crawford, connie nielsen. Moving forward mengajak pembaca menjadikan hidup lebih baik, lebih bermanfaat dan pada akhirnya lebih sukses. Sinopsis & rekod pembacaan ldp. Buku memang dirancang untuk membantu remaja perempuan agar dapat menyikapi permasalahan. Teknik menulis | buku ilmiah, baik berupa buku ajar maupun buku pelengkap suatu bidang mata ajar mengandung informasi ilmiah yang bertujuan namun, prinsip dasar menulis buku ilmiah adalah pengurutan.

Berikuti ini terdapat skema untuk mempermudah membuat sinopsis, yakni sebagai berikut melihat sekilas isi buku seperti cover buku, judul buku, lalu membuka cepat. Rashi mencoba berbagai cara untuk menyulitkan gopi agar tidak diterima oleh keluarga modi. Jadi bagi pembaca baru, disarankan untuk tidak memilih buku ini untuk buku pertama yang dibaca. Cara pertama yang harus dilakukan yaitu membaca naskah/buku aslinya terlebih dahulu. Berikut ini adalah sinopsis film inheritance yang di rilis di tahun 2020 diperankan oleh lily collins, simon pegg, chace crawford, connie nielsen.

Produk - KOIKHTISAS
Produk - KOIKHTISAS from koikhtisas.com
For more information and source, sinopsis buku ilmiah terbaru cute766. Untuk lebih jelasnya simak pembahasan dibawah ini. Oleh karena itu, penting diperhatikan bahwa sebuah tulisan apalagi buku harus. Sinopsis tersebut digunakan untuk mengetahui dan memahami secara singkat tentang sebuah naskah yang akan dipentaskan ataupun dibaca. Bacaan ilmiah sinopsis buku ladap 2019. This page is about sinopsis buku ldp,contains bacaan ilmiah sinopsis buku ladap 2020,borang sinopsis buku latihan dalam perkhidmatan (ldp),sinopsis buku untuk ladap,sinopsis buku sinopsis buku ldp (page 1). Kebanyakan orang masing beranggapan untuk melihat film merupakan hal yang cukup mustahil untuk di lakukan. Situs tentang sinopsis film terbaru dan terlengkap.

Sinopsis merupakan ringkasan atau garis besar naskah yang menggambarkan isi dari sebuah film, buku, atau pementasan yang dilakukan baik dari penjelasan diatas, dapat disimpulkan bahwa sinopsis merupakan sebuah ringkasan dari sebuah buku, atau naskah pada drama dan theater yang.

Berikuti ini terdapat skema untuk mempermudah membuat sinopsis, yakni sebagai berikut melihat sekilas isi buku seperti cover buku, judul buku, lalu membuka cepat. Tetapi pada akhirnya kedua sepupu ini menjadi menantu di rumah modi. Berikut ini adalah sinopsis film inheritance yang di rilis di tahun 2020 diperankan oleh lily collins, simon pegg, chace crawford, connie nielsen. Buku memang dirancang untuk membantu remaja perempuan agar dapat menyikapi permasalahan. Sinopsis & rekod pembacaan ldp. Situs tentang sinopsis film terbaru dan terlengkap. Pusat sumber kolej matrikulasi teknikal pahang (kmtph): Menulis rangkuman buku atau sinopsis buku menulis sinopsis buku memiliki tujuan supaya kamu mendapatkan sebuah gambaran mengenai isi tebal buku : Oleh karena itu, penting diperhatikan bahwa sebuah tulisan apalagi buku harus. Sinopsis tersebut digunakan untuk mengetahui dan memahami secara singkat tentang sebuah naskah yang akan dipentaskan ataupun dibaca. Teknik menulis | buku ilmiah, baik berupa buku ajar maupun buku pelengkap suatu bidang mata ajar mengandung informasi ilmiah yang bertujuan namun, prinsip dasar menulis buku ilmiah adalah pengurutan. Pengertian sinopsis, ciri sinopsis, cara membuat sinopsis, contoh lengkap sinopsis, pengertian sinopsis menurut ahli, sinopsis adalah materi sinopsis adalah rangkuman ataupun garis besar sebuah naskah yang menggambarkan isi dari sebuah film atau buku yang dilakukan secara konkrit. Savesave sinopsis buku bacaan ilmiah for later.

Risa adalah tante cleo sekaligus dari adik. Sinopsis & rekod pembacaan ldp. Sinopsis tersebut digunakan untuk mengetahui dan memahami secara singkat tentang sebuah naskah yang akan dipentaskan ataupun dibaca. Adanya suatu ajakan ataupun motivasi bagi para pembaca, untuk membaca buku itu serta dikemas sebaik mungkin agar pembaca tertarik untuk membaca. Rashi mencoba berbagai cara untuk menyulitkan gopi agar tidak diterima oleh keluarga modi.

Buku Teknik Menulis Karya Ilmiah - Penerbit Buku ...
Buku Teknik Menulis Karya Ilmiah - Penerbit Buku ... from penerbitbukudeepublish.com
Banyak yang merekomendasikan novel ini untuk dibaca, karena sarat karya andrea hirata novel laskar pelangi ini telah menjadi buku sastra terlaris sepanjang sejarah perbukuan indonesia, dan dari. Sinopsis merupakan karangan ilmiah biasa digunakan bersamaan dengan karangan asli yang menjadi dasar sinopsis tersebut. Untuk memperjelas jawaban ilmiah berdasarkan penelitian, penulisan karya tulis ilmiah hanya dapat dilakukan sesudah timbul suatu masalah, yang kemudian dibahas melalui penelitian dan kesimpulan dari penelitian tersebut. Untuk lebih jelasnya simak pembahasan dibawah ini. Jadi bagi pembaca baru, disarankan untuk tidak memilih buku ini untuk buku pertama yang dibaca. Cara pertama yang harus dilakukan yaitu membaca naskah/buku aslinya terlebih dahulu. For more information and source, sinopsis buku ilmiah terbaru cute766. Akan tetapi sinopsis tidak sebatas untuk adegan pementasan saja melainkan juga untuk seorang penulis.

Moving forward mengajak pembaca menjadikan hidup lebih baik, lebih bermanfaat dan pada akhirnya lebih sukses.

Banyak yang merekomendasikan novel ini untuk dibaca, karena sarat karya andrea hirata novel laskar pelangi ini telah menjadi buku sastra terlaris sepanjang sejarah perbukuan indonesia, dan dari. Risa adalah tante cleo sekaligus dari adik. Berikut ini adalah sinopsis film inheritance yang di rilis di tahun 2020 diperankan oleh lily collins, simon pegg, chace crawford, connie nielsen. Contoh sinopsis buku ilmiah pendidikan. 67%(6)67% found this document useful (6 votes). Padahal film bisa di ciptakan oleh siapa saja. Cara pertama yang harus dilakukan yaitu membaca naskah/buku aslinya terlebih dahulu. Sinopsis merupakan karangan ilmiah biasa digunakan bersamaan dengan karangan asli yang menjadi dasar sinopsis tersebut. Pengertian sinopsis, ciri sinopsis, cara membuat sinopsis, contoh lengkap sinopsis, pengertian sinopsis menurut ahli, sinopsis adalah materi sinopsis adalah rangkuman ataupun garis besar sebuah naskah yang menggambarkan isi dari sebuah film atau buku yang dilakukan secara konkrit. Berikuti ini terdapat skema untuk mempermudah membuat sinopsis, yakni sebagai berikut melihat sekilas isi buku seperti cover buku, judul buku, lalu membuka cepat. Ada dua jenis sinopsis yakni sinopsis tulisan lengkap dan sinopsis sebagai persiapan munulis ide. Untuk memperjelas jawaban ilmiah berdasarkan penelitian, penulisan karya tulis ilmiah hanya dapat dilakukan sesudah timbul suatu masalah, yang kemudian dibahas melalui penelitian dan kesimpulan dari penelitian tersebut. Untuk lebih jelasnya simak pembahasan dibawah ini.

Related : Sinopsis Buku Ilmiah Untuk Ldp - This page is about sinopsis buku ldp,contains bacaan ilmiah sinopsis buku ladap 2020,borang sinopsis buku latihan dalam perkhidmatan (ldp),sinopsis buku untuk ladap,sinopsis buku sinopsis buku ldp (page 1)..